Trong kỷ nguyên của dữ liệu lớn, việc đọc hiểu các con số không còn là đặc quyền của các nhà toán học. Đối với sinh viên đang thực hiện khóa luận, các nhà nghiên cứu thị trường hay chuyên viên phân tích tâm lý, SPSS đã trở thành trợ thủ đắc lực. Tuy nhiên, giữa một rừng các chỉ số thống kê, độ lệch chuẩn luôn đứng ở vị trí trung tâm. Vậy cách tính độ lệch chuẩn trong SPSS như thế nào để vừa nhanh, vừa chính xác, lại vừa giúp bài nghiên cứu của bạn trở nên thuyết phục hơn?
Bài viết này sẽ khai thác sâu mọi khía cạnh của độ lệch chuẩn, từ bản chất toán học đến các thao tác thực hành chuyên sâu trên phần mềm SPSS.
1. Độ lệch chuẩn trong SPSS là gì? Hiểu đúng để phân tích trúng
Để nắm vững cách tính độ lệch chuẩn trong SPSS, trước hết chúng ta cần bóc tách lớp vỏ khái niệm của nó. Trong thống kê học, độ lệch chuẩn là một thước đo về mức độ phân tán của một tập hợp dữ liệu so với giá trị trung bình của nó.

Độ lệch chuẩn trong spss là gì?
1.1. Bản chất toán học của sự biến thiên
Nếu giá trị trung bình cho ta biết điểm hội tụ của dữ liệu, thì độ lệch chuẩn lại cho ta biết các quan sát đang bay xa khỏi điểm hội tụ đó bao nhiêu.
- Độ lệch chuẩn thấp: Cho thấy các điểm dữ liệu có xu hướng rất gần với giá trị trung bình. Điều này đồng nghĩa với việc dữ liệu có tính ổn định và đồng nhất cao.
- Độ lệch chuẩn cao: Cho thấy dữ liệu phân tán trên một phạm vi rộng. Điều này phản ánh sự biến động mạnh, các đối tượng nghiên cứu có sự khác biệt lớn về đặc điểm đang xét.
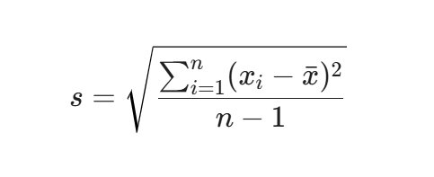
1.2. Công thức – Linh hồn của các thuật toán SPSS
Dù SPSS thực hiện mọi phép tính chỉ trong vài giây, nhưng một người làm nghiên cứu chuyên nghiệp cần hiểu cơ chế vận hành của nó qua công thức:

- s: Độ lệch chuẩn mẫu.
- xi: Giá trị của quan sát thứ i.
- x̄: Giá trị trung bình của mẫu.
- n: Quy mô mẫu (số lượng quan sát).
2. Tại sao độ lệch chuẩn lại là chìa khóa trong nghiên cứu dữ liệu?

Ý nghĩa của độ lệch chuẩn trong SPSS
Việc tìm kiếm cách tính độ lệch chuẩn trong SPSS không chỉ đơn thuần là hoàn thành một bước thao tác kỹ thuật. Ý nghĩa của chỉ số này sâu sắc hơn nhiều.
2.1. Đo lường rủi ro và sự ổn định
Trong kinh tế, độ lệch chuẩn là thước đo của rủi ro. Một danh mục đầu tư có độ lệch chuẩn về lợi nhuận cao nghĩa là nó cực kỳ mạo hiểm. Trong giáo dục, nếu độ lệch chuẩn của điểm số trong một lớp học quá cao, điều đó báo hiệu sự phân hóa trình độ nghiêm trọng giữa các học sinh, đòi hỏi giáo viên phải thay đổi phương pháp sư phạm.
2.2. Kiểm chứng giá trị trung bình
Hãy tưởng tượng bạn có hai nhóm khách hàng có mức chi tiêu trung bình bằng nhau là 1 triệu đồng. Nhưng nhóm A có độ lệch chuẩn là 50.000đ, nhóm B là 500.000đ. Rõ ràng, con số 1 triệu đồng ở nhóm A có giá trị đại diện cao hơn hẳn. Nhóm B chỉ là sự cộng dồn giữa những người chi tiêu cực thấp và cực cao. Nếu không có độ lệch chuẩn, giá trị trung bình đôi khi sẽ “lừa dối” nhà nghiên cứu.
2.3. Phát hiện những “kẻ ngoại lai”
Khi thực hiện cách tính độ lệch chuẩn trong SPSS, phần mềm sẽ giúp bạn nhận diện những giá trị bất thường. Theo quy tắc phân phối chuẩn, khoảng 95% dữ liệu sẽ nằm trong phạm vi +- 2 độ lệch chuẩn quanh trung bình. Những giá trị nằm ngoài phạm vi này thường là lỗi nhập liệu hoặc các trường hợp đặc biệt cần được xem xét riêng biệt để tránh làm lệch kết quả kiểm định.
>> Xem thêm: Dịch vụ xử lý số liệu SPSS chính xác, chuyên nghiệp
3. Hướng dẫn chi tiết cách tính độ lệch chuẩn trong SPSS (Cập nhật 2026)

Cách tính độ lệch chuẩn trong SPSS
Khi đã hiểu độ lệch chuẩn là gì và ý nghĩa của nó, chúng ta đi vào thực hành tính toán trực tiếp trên SPSS.
3.1. Phương pháp 1: Sử dụng lệnh Descriptives
Đây là cách phổ biến nhất khi bạn chỉ muốn có một bảng tổng hợp nhanh cho nhiều biến số cùng lúc.
- Bước 1: Mở tệp dữ liệu trong SPSS. Trên thanh công cụ, chọn Analyze > Descriptive Statistics > Descriptives…
- Bước 2: Một hộp thoại xuất hiện. Bạn chọn các biến số cần tính (ví dụ: Độ tuổi, Thu nhập, Điểm số) từ cột bên trái và chuyển sang ô Variables bên phải bằng nút mũi tên.
- Bước 3: Nhấn vào nút Options. Tại đây, hãy đảm bảo ô Std. deviation đã được tích chọn. Ngoài ra, bạn nên chọn thêm Mean, Minimum, Maximum để bảng báo cáo đầy đủ hơn.
- Bước 4: Nhấn Continue và cuối cùng là OK. Kết quả sẽ hiện ra ngay lập tức tại cửa sổ Output.
3.2. Phương pháp 2: Sử dụng lệnh Frequencies
Nếu bạn muốn biết vừa độ lệch chuẩn, vừa muốn xem biểu đồ phân phối, hãy dùng cách này.
- Bước 1: Chọn Analyze > Descriptive Statistics > Frequencies…
- Bước 2: Đưa biến vào ô Variables. Nhấp vào nút Statistics.
- Bước 3: Trong nhóm Dispersion (Sự phân tán), tích chọn Std. deviation.
- Bước 4: Nếu muốn vẽ biểu đồ, nhấn vào nút Charts, chọn Histograms và tích vào Show normal curve on histogram. Điều này cực kỳ có lợi khi bạn muốn đánh giá xem dữ liệu có đạt phân phối chuẩn hay không.
3.3. Phương pháp 3: Sử dụng lệnh Explore
Khi bạn cần thực hiện cách tính độ lệch chuẩn trong SPSS cho từng nhóm đối tượng cụ thể (ví dụ: Tính độ lệch chuẩn thu nhập nhưng chia riêng Nam và Nữ), lệnh Explore là lựa chọn số 1.
- Bước 1: Chọn Analyze > Descriptive Statistics > Explore…
- Bước 2: Đưa biến cần tính vào Dependent List và biến phân nhóm (Ví dụ: Giới tính) vào Factor List.
- Bước 3: Tại phần Display, chọn Both để xem cả số liệu thống kê và biểu đồ Boxplot. SPSS sẽ xuất ra một bảng cực kỳ chi tiết cho từng phân đoạn dữ liệu.
>> Xem thêm: Hướng dẫn chi tiết cách làm sạch dữ liệu SPSS mới nhất
4. Cách đọc và diễn giải kết quả độ lệch chuẩn trong SPSS
Sau khi hoàn thành các bước tính toán trong SPSS, người phân tích sẽ nhận được một bảng kết quả hiển thị trong cửa sổ Output. Việc đọc và hiểu đúng các con số này là yếu tố quan trọng giúp bạn áp dụng vào nghiên cứu hoặc báo cáo thực tế.
4.1. Vị trí hiển thị kết quả trong bảng Output
Trong bảng kết quả mà SPSS xuất ra, độ lệch chuẩn thường xuất hiện trong cột Standard Deviation. Cột này sẽ nằm cùng hàng với tên biến số mà bạn vừa phân tích. Ngoài ra, bảng còn có thể hiển thị thêm các thông số khác như giá trị trung bình (Mean), số lượng quan sát (N), hoặc phương sai (Variance). Người đọc chỉ cần chú ý đến cột Standard Deviation để xác định giá trị độ lệch chuẩn của biến dữ liệu.
4.2. Ý nghĩa con số độ lệch chuẩn trong báo cáo
Độ lệch chuẩn cho biết dữ liệu có tập trung quanh giá trị trung bình hay phân tán rộng. Ví dụ, nếu kết quả phân tích cho thấy điểm trung bình của một lớp học là 7.0 và độ lệch chuẩn là 0.8, điều này có nghĩa rằng phần lớn học sinh có điểm dao động trong khoảng từ 6.2 đến 7.8. Khoảng này được tính bằng cách lấy trung bình cộng trừ đi (hoặc cộng thêm) một lần độ lệch chuẩn. Nhờ vậy, bạn có thể hình dung rõ ràng hơn mức độ ổn định của kết quả học tập trong lớp.
4.3. So sánh độ lệch chuẩn với phương sai và trung bình
Để hiểu kết quả toàn diện, cần đặt độ lệch chuẩn trong mối quan hệ với các chỉ số khác:
- Trung bình (Mean): Cho ta biết xu hướng chung của dữ liệu, ví dụ điểm trung bình là bao nhiêu.
- Phương sai (Variance): Cũng đo lường mức độ phân tán dữ liệu nhưng ở dạng bình phương, khiến việc diễn giải trở nên khó khăn hơn.
- Độ lệch chuẩn (Standard Deviation): Ưu điểm là cùng đơn vị đo với dữ liệu gốc, nên dễ hiểu và trực quan hơn.
Tóm lại, trung bình cho ta “bức tranh tổng thể”, trong khi độ lệch chuẩn chỉ ra dữ liệu ổn định hay biến động quanh mức trung bình đó.
5. Các lỗi thường gặp khi tính độ lệch chuẩn trong SPSS
Trong thực tế, không phải lúc nào người dùng cũng nhận được kết quả chính xác ngay. Một số lỗi thường gặp có thể khiến việc tính toán bị sai lệch.
5.1. Nhập sai dữ liệu và cách xử lý
Một lỗi phổ biến là nhập sai định dạng dữ liệu, chẳng hạn nhập chữ thay vì số hoặc nhập nhầm dấu thập phân. Điều này khiến SPSS không thể tính toán hoặc cho ra kết quả bất thường. Giải pháp là cần kiểm tra dữ liệu cẩn thận trước khi phân tích, đảm bảo tất cả biến số đều được định dạng đúng kiểu dữ liệu (Numeric).
5.2. Hiểu nhầm giữa độ lệch chuẩn mẫu và tổng thể
SPSS mặc định tính độ lệch chuẩn dựa trên dữ liệu mẫu (Sample Standard Deviation). Tuy nhiên, nhiều người mới học lại nhầm với độ lệch chuẩn tổng thể (Population Standard Deviation). Việc nhầm lẫn này có thể dẫn đến sai lệch trong phân tích, đặc biệt khi dữ liệu được dùng cho nghiên cứu khoa học hoặc luận văn. Người phân tích cần xác định rõ mục tiêu để lựa chọn loại độ lệch chuẩn phù hợp.
5.3. Giải pháp khắc phục các lỗi phổ biến
Để tránh sai sót, bạn nên:
- Kiểm tra kỹ dữ liệu đầu vào trước khi chạy phân tích.
- Đảm bảo chọn đúng biến số cần tính toán.
- Hiểu rõ ý nghĩa của từng thông số trong bảng Output để diễn giải chính xác.
Độ lệch chuẩn là một trong những chỉ số quan trọng nhất trong thống kê, giúp chúng ta hiểu rõ mức độ phân tán của dữ liệu. SPSS với giao diện trực quan và chức năng mạnh mẽ cho phép người dùng tính toán nhanh chóng và chính xác. Qua hướng dẫn trên, bạn đã biết cách nhập dữ liệu, tính độ lệch chuẩn, đọc kết quả cũng như khắc phục các lỗi thường gặp. Nếu bạn đang cần hỗ trợ phân tích dữ liệu chuyên sâu, hãy liên hệ với Tri Thức Cộng Đồng để nhận dịch vụ nhanh chóng và chuyên nghiệp.