Tại Việt Nam, hiện vẫn chưa có nhiều nghiên cứu quan tâm đến vấn đề cấu trúc vốn tối ưu của các doanh nghiệp cổ phần do một vài vấn đề trong quản trị tài chính.
Vì vậy Tri thức cộng đồng cung cấp một số kiến thức cần thiết về cấu trúc vốn, cấu trúc vốn tối ưu là gì và các nhân tố ảnh hưởng đến nó để bạn đọc tham khảo phục vụ cho công việc, nghiên cứu.
1. Cấu trúc vốn là gì?
Cấu trúc vốn (capital structure) là thuật ngữ tài chính nhằm mô tả nguồn vốc và phương pháp hình thành nên nguồn vốn để doanh nghiệp có thể sử dụng mua sắm tài sản, phương tiện vật chất và hoạt động kinh doanh (Theo từ điển Investopedia 2021).

Cấu trúc vốn – khái niệm và các nhân tố ảnh hưởng
Việc xác định một cấu trúc vốn tối ưu có ý nghĩa quan trọng trong hoạt động của doanh nghiệp:
- Giúp doanh nghiệp tối thiểu hóa chi phí vốn bình quân gia quyền (WACC)
- Tối đa hóa giá trị tài sản của cổ đông doanh nghiệp.
Ngoài ra, cấu trúc vốn còn ảnh hưởng đến khả năng sinh lời và rủi ro kinh doanh mà chính doanh nghiệp có thể sẽ gặp phải (Frank và Goyal, 2009).
Bên cạnh đó, quy mô doanh nghiệp cũng là một trong những yếu tố quan trọng tạo nên sự khác biệt trong cấu trúc vốn giữa các đơn vị kinh doanh. Các doanh nghiệp lớn thường có nền tảng tài chính vững, dòng tiền ổn định và mức tín nhiệm cao nên dễ tiếp cận vốn vay với chi phí thấp, đồng thời linh hoạt trong việc sử dụng đòn bẩy tài chính.
Ngược lại, doanh nghiệp nhỏ thường gặp khó khăn trong việc tiếp cận tín dụng, bởi rủi ro cao và hạn chế về tài sản thế chấp. Do đó, họ thường phụ thuộc nhiều hơn vào nguồn vốn chủ sở hữu hoặc vốn tự có, dẫn đến cơ cấu vốn có tỷ trọng nợ thấp hơn.
Chính vì thế, lựa chọn một cơ cấu vốn giữa vốn vay và vốn chủ sở hữu là cả một nghệ thuật trong quản trị tài chính.
2. Các thành phần trong cấu trúc vốn
Cấu trúc vốn được cấu tạo bởi nhiều thành phần, nhưng dựa theo đặc trưng riêng biệt của từng loại vốn, chúng tôi quy chung lại với 2 thành phần quan trọng nhất được kể đến dưới đây: Vốn vay và vốn chủ sở hữu.
2.1. Nguồn vốn vay
Vốn vay (debt capital) là số tiền mà một công ty vay từ các nguồn bên ngoài với thời hạn nhất định thông qua việc phát hành các trái phiếu có lãi suất cố định v.v…( Nguyễn Văn Ngọc, Từ điển kinh tế học, Đại học kinh tế quốc dân) hay còn được gọi là Nợ phải trả.
Đặc điểm của vốn vay:
- Vốn vay khác với vốn chủ sở hữu hoặc vốn cổ phần vì người đăng ký cho vay vốn không trở thành chủ sở hữu của doanh nghiệp, chỉ đơn thuần là chủ nợ và nhà cung cấp vốn vay và thường nhận được tỷ lệ phần trăm cố định hàng năm theo hợp đồng trên khoản vay của họ (được gọi là coupon).
- Vốn vay xếp hàng cao hơn vốn chủ sở hữu trong thứ tự để trả lợi nhuận hàng năm. Điều này có nghĩa là một cách hợp pháp, lãi suất trên vốn vay phải được hoàn trả đầy đủ trước khi bất kỳ cổ tức nào được trả cho bất kỳ nhà cung cấp vốn chủ sở hữu nào.
Như vậy, nguồn vốn vay là nguồn chủ doanh nghiệp vay tạm thời để vận hành doanh nghiệp và sẽ hoàn trả trong tương lai. Nếu trong cấu trúc vốn, nguồn vốn vay chiếm phần lớn tức là doanh nghiệp đang rơi vào tình trạng rủi ro tài chính.
2.2. Nguồn vốn chủ sở hữu

Nguồn vốn sở hữu của doanh nghiệp
Là số vốn thuộc quyền sở hữu của chủ doanh nghiệp, được hình thành và phát triển từ các nguồn vốn đóng góp của các cổ đông. Đây là bộ phận vốn quan trọng, có tính ổn định cao, thể hiện được tự chủ về mặt tài chính của DN. Vốn của chủ sở hữu bao gồm: Vốn góp và lợi nhuận giữ lại.
- Vốn góp: Khoản 21 điều 4 Luật doanh nghiệp 2014 quy định như sau: “Phần vốn góp là tổng giá trị tài sản của một thành viên đã góp hoặc cam kết góp vào công ty trách nhiệm hữu hạn, công ty hợp danh.Tỷ lệ phần vốn góp là tỷ lệ giữa phần vốn góp của một thành viên và vốn điều lệ của công ty trách nhiệm hữu hạn, công ty hợp danh”
Vốn góp là thể hiện việc góp vốn vào công ty, số lần góp vốn đó có thể một lần hoặc nhiều lần miễn sao là trong thời hạn pháp luật cho phép và đúng như cam kết góp vốn vào công ty và chính là góp vốn điều lệ.
- Lợi nhuận giữ lại: Lợi nhuận là số tiền lãi hàng năm mà doanh nghiệp giữ lại để tái đầu tư. Đó còn là thu nhập ròng (sau thuế) còn lại cho doanh nghiệp sau khi họ đã trả cổ tức cho các cổ đông. Một doanh nghiệp tạo ra lợi nhuận có thể dương (lãi) hoặc âm (lỗ).
Như vậy, vốn chủ sở hữu được coi là vốn tự có của doanh nghiệp. Nếu trong cấu trúc vốn, vốn của chủ sở hữu chiếm phần lớn thì doanh nghiệp đó đang được ở mức an toàn.
Nhóm ngành kinh tế, tài chính về vốn là 1 mảng khá rộng, các kiến thức cần phải tiếp thu cũng không nhỏ. Một số tài liệu về sát sườn về vốn mà chúng tôi gợi ý cho bạn dưới đây, có thể sẽ rất hữu ích cho quá trình tìm hiểu của bạn.
>> Đọc thêm: Chu kỳ kinh tế là gì? Chu kỳ kinh tế Việt Nam hiện nay
3. 3 nhân tố ảnh hưởng tới cấu trúc vốn
Cấu trúc vốn khá là phức tạp và được quy định bởi rất nhiều yếu tố, Trung tâm tóm gọn lại 3 nhân tố ảnh hưởng chính tới cấu trúc vốn để bạn đọc dễ nắm bắt thông tin.

Tổng hợp 3 nhân tố ảnh hưởng tới cấu trúc vốn
3.1. Tính thanh khoản
Tính thanh khoản là thuật ngữ được sử dụng phổ biến trong các ngành nghề có liên quan đến lĩnh vực tài chính (finance). Tính thanh khoản dùng để chỉ mức độ lưu động của một sản phẩm hay tài sản bất kỳ có thể mua vào hoặc bán ra mà không làm ảnh hưởng nhiều đến giá trị thị trường của nó.
Hiểu một cách đơn giản hơn thì tính thanh khoản dùng để chỉ khả năng chuyển đổi thành tiền mặt của một sản phẩm hoặc tài sản bất kỳ nào đó.
Quy luật của tính thanh khoản:
- Lý thuyết đánh đổi chỉ ra rằng, DN có thể sử dụng các khoản nợ để thanh toán, tỷ lệ thanh khoản cao cần được duy trì. Khả năng thanh khoản của DN có quan hệ tỷ lệ thuận (+) với nợ.
- Lý thuyết trật tự phân hạng chỉ ra mối quan hệ nghịch giữa tính thanh khoản và tỷ lệ nợ. Nếu công ty giữ được tỷ lệ thanh khoản cao thì công ty có xu hướng sử dụng vốn của mình hơn là đi vay. Myers và Rajan (1998) cũng chỉ ra rằng các công ty có tính thanh khoản cao vay ít hơn. Do đó, ta có thể đưa ra kết luận khả năng thanh khoản của doanh nghiệp có thể tỷ lệ thuận hoặc tỷ lệ nghịch với cấu trúc vốn.
Nói chung lại, tỷ lệ thanh khoản càng cao thì xác suất công ty chịu rủi ro phá sản càng thấp. Về bản chất, thanh khoản không phải là yếu tố duy nhất quyết định cấu trúc vốn, nhưng nó là biến số quan trọng phản ánh sức khỏe tài chính của doanh nghiệp.
Trong một môi trường kinh doanh ổn định, thanh khoản đóng vai trò hỗ trợ; nhưng trong điều kiện rủi ro cao hoặc thiếu hụt dòng tiền, thanh khoản trở thành yếu tố then chốt trong việc doanh nghiệp quyết định sử dụng bao nhiêu nợ vay trong cơ cấu vốn.
3.2. Lợi tức đầu tư(ROI)
Lợi tức đầu tư (Return on Investment – ROI) phản ánh mức độ sinh lời từ mỗi đồng vốn doanh nghiệp bỏ ra. Theo lý thuyết cân bằng, lợi tức đầu tư và đòn bẩy tài chính có mối quan hệ tỷ lệ thuận với nhau. ROI là biến số quan trọng trong việc quyết định doanh nghiệp nên sử dụng nợ hay vốn chủ sở hữu trong cấu trúc vốn.
- Nếu ROI > lãi vay → dự án tạo lợi nhuận cao hơn chi phí nợ→ doanh nghiệp có thể tăng vay nợ → cấu trúc vốn dịch chuyển về phía nợ
- ROI < lãi vay → chi phí nợ vượt lợi nhuận → dòng tiền bị thu hẹp → rủi ro phá sản tăng → cấu trúc vốn nghiêng nhiều hơn về vốn chủ sở hữu
ROI là thành phần quan trọng trong quá trình xác định cấu trúc vốn tối ưu, nhưng không phải yếu tố quyết định duy nhất. Doanh nghiệp chỉ nên tăng nợ khi ROI ổn định, vượt chi phí vốn vay và không gây rủi ro đến khả năng thanh toán.
3.3. Tỷ lệ lãi suất
Cấu trúc vốn của doanh nghiệp chịu ảnh hưởng rất lớn bởi tỷ lệ lãi suất. Nếu một Ngân hàng hay tổ chức tài chính cho vay hi vọng được nhận lại nhiều hơn lãi suất mong muốn thì phía doanh nghiệp sẽ phải trì hoãn việc huy động vốn.
- Nếu lãi suất tăng và vấn đề vay nợ gặp nhiều khó khăn, thì doanh nghiệp phải nghĩ ngay đến việc tăng độ nghiêng của đòn bẩy tài chính.
- Nếu lãi suất giảm và việc vay nợ không gặp khó khăn, tình hình doanh nghiệp ổn định, doanh nghiệp nên có kế hoạch giảm hoặc hoãn việc vay nợ hiện tại để tránh rơi vào tình trạng rủi ro tài chính.
Như đã thấy, tỷ lệ lãi suất ổn định sẽ giúp ích cho doanh nghiệp của bạn luôn ở mức tài chính an toàn.
>> Tham khảo thêm: Thuê xử lý số liệu SPSS giúp tối ưu quy trình phân tích dữ liệu
4. Cấu trúc vốn tối ưu
4.1. Khái niệm

Cấu trúc vốn tối ưu của doanh nghiệp
Cấu trúc vốn tối ưu được hiểu là tỷ lệ giữa vốn chủ sở hữu và vốn vay nợ sao cho tối thiểu chi phí sử dụng vốn, tối thiểu hóa rủi ro kinh doanh đồng thời tối đa hóa giá trị doanh nghiệp.
Câu hỏi hay đặt ra cho một doanh nghiệp để đo lường xem quá trình hoạt động của doanh nghiệp có đang ổn không là: Doanh nghiệp của bạn sử dụng bao nhiêu phần trăm vốn vay, có bao nhiêu phần trăm vốn sở hữu?
Bên cạnh đó, cấu trúc vốn tối ưu thay đổi qua thời gian và phụ thuộc vào tính chất của doanh nghiệp cũng như các nhân tố bên ngoài môi trường hoạt động. Thực tế, các nhà quản lý thường đặt ra một khoảng tỷ lệ nợ trên tổng tài sản của doanh nghiệp, ví dụ như 30% đến 40% thay vì đặt ra một con số cụ thể.
4.2. Các nhân tố ảnh hưởng
Cấu trúc vốn tối ưu chịu tác động bởi nhiều yếu tố nội tại và lý thuyết tài chính hiện đại. Khi thiết lập, để biết cấu trúc vốn có tối ưu hay không thường dựa vào một số yếu tố sau:
- Rủi ro doanh nghiệp và thuế thu nhập doanh nghiệp: rủi ro phát sinh đối với tài sản của công ty ngay cả khi công ty không sử dụng nợ. Công ty nào có rủi ro doanh nghiệp càng lớn thì càng hạ thấp tỷ lệ nợ tối ưu. Do lãi vay là yếu tố chi phí trước thuế nên sử dụng nợ giúp công ty tiết kiệm thuế. Tuy nhiên điều này sẽ không còn ý nghĩa nữa đối với những công ty nào được ưu đãi hay vì lý do gì đó mà thuế thu nhập ở mức thấp.
- Sự chủ động về tài chính: sử dụng nợ nhiều làm giảm đi sự chủ động về tài chính đồng thời làm xấu đi tình hình bảng cân đối kế toán khiến cho những nhà cung cấp vốn ngần ngại cho vay hay đầu tư vốn vào công ty.
- Các tiêu chuẩn ngành: cấu trúc vốn giữa các ngành công nghiệp khác nhau rất nhiều. Các nhà phân tích tài chính, các Ngân Hàng đầu tư, các cơ quan xếp hạng trái phiếu, các nhà đầu tư cổ phần thường và các Ngân Hàng thương mại thường so sánh rủi ro tài chính của doanh nghiệp, đo lường bởi các tỷ số khả năng thanh toán lãi vay, khả năng thanh toán chi phí tài chính cố định và tỷ lệ đòn bẩy với các tiêu chuẩn hay định mức của ngành hoạt động. Tóm lại các nghiên cứu về tác động của ngành hoạt động đối với cấu trúc vốn thường đi tới kết luận là có một cấu trúc vốn tối ưu cho các doanh nghiệp cá thể.
Trên đây là các yếu tố ảnh hưởng đến tối ưu cấu trúc vốn mà bạn cần biết để dựa vào đó, tự đánh giá được mức độ tối ưu tài chính cho doanh nghiệp của mình. Bất cứ một chủ doanh nghiệp nào cũng nên tự mình đánh giá được điều này để vạch ra được hướng đi đúng đắn cho doanh nghiệp của mình.
5. Làm thế nào để tối ưu cấu trúc vốn
Sau khi đã biết qua về các yếu tố ảnh hưởng đến tối ưu cấu trúc vốn, chắc hẳn bây giờ bạn sẽ thắc mắc: Có cách nào để tối ưu được cấu trúc vốn?
Dưới đây là quy trình 5 bước giúp doanh nghiệp thiết lập cơ cấu vốn tối ưu trong thực tiễn.
5.1. Bước 1: Tính toán chính xác chi phí vốn (Cost of Capital)
Việc tối ưu cấu trúc vốn chỉ khả thi khi doanh nghiệp xác định đúng chi phí sử dụng vốn theo nguyên tắc thị trường.
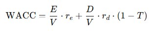
a, Chi phí vốn bình quân gia quyền (WACC)
Công thức:

Công thức tính Chi phí vốn bình quân gia quyền (WACC) trong cấu trúc vốn
Trong đó:
- re: Chi phí vốn chủ sở hữu
- rd: Chi phí nợ
- T: Thuế suất thu nhập doanh nghiệp
- D, E, V: Nợ, vốn chủ, tổng giá trị vốn
b, Chi phí vốn chủ sở hữu theo CAPM
Công thức:
re = rf + β (rm − rf)
→ Công thức tính chi phí vốn chủ sở hữu theo CAPM trên dùng để đo lường lợi nhuận kỳ vọng tương ứng với mức rủi ro thị trường.
c, Chi phí nợ sau thuế
Công thức:
rd (1 − T)
→ Vì lãi vay được trừ thuế, chi phí thực của nợ thấp hơn lãi vay danh nghĩa.
5.2. Bước 2: Xác định mức đòn bẩy tài chính phù hợp
Công thức tính tỷ lệ nợ/vốn chủ sở hữu (D/E Ratio):
D/E = Tổng nợ / Vốn chủ sở hữu
Mục tiêu của công thức này là để tìm khoảng D/E cho phép WACC thấp nhất mà rủi ro vẫn trong vùng an toàn. Vì D/E cao → lợi ích thuế tăng → nhưng rủi ro tài chính cũng tăng.
5.3. Bước 3: Đánh giá rủi ro và dòng tiền
Doanh nghiệp chỉ nên tăng nợ khi dòng tiền đủ ổn định để chi trả lãi vay. Để đánh giá rủi ro và dòng tiền một cách chính xác, bạn cần phân tích các yếu tố như:
- Biến động dòng tiền hoạt động
- Rủi ro ngành và rủi ro thị trường
- Khả năng thanh toán lãi và nợ gốc
- Độ nhạy của lợi nhuận khi nợ tăng → Dòng tiền càng ổn định → nợ càng dễ tối ưu.
5.4. Bước 4: So sánh với chuẩn ngành và chiến lược tăng trưởng
Khi tối ưu cấu trúc vốn, doanh nghiệp cần đặt tỷ lệ nợ – vốn chủ trong bối cảnh rộng hơn của ngành và chiến lược tăng trưởng dài hạn theo ngành nghề đều có mức đòn bẩy tài chính đặc thù. Việc so sánh tỷ lệ nợ trên vốn chủ sở hữu (D/E), chi phí vốn và khả năng thanh toán với chuẩn ngành giúp doanh nghiệp đánh giá mức độ an toàn của cấu trúc vốn hiện tại.
Bên cạnh yếu tố ngành, chiến lược tăng trưởng cũng là biến số quan trọng trong việc xác định cấu trúc vốn tối ưu.
- Chiến lược tăng trưởng mạnh → có thể cần nợ nhiều hơn.
- Chiến lược phòng thủ → duy trì nợ thấp để giảm rủi ro tài chính.
Câu hỏi đặt ra là: Doanh nghiệp nhỏ nên bắt đầu tối ưu cấu trúc vốn từ đâu? Thực tế cho thấy, các doanh nghiệp nhỏ không nên bắt đầu từ việc tăng nợ hay điều chỉnh vốn chủ, mà cần bắt đầu từ việc đánh giá dòng tiền. Dòng tiền hoạt động chính là nền tảng quyết định khả năng sử dụng nợ.
Khi dòng tiền ổn định, doanh nghiệp nhỏ có thể tiếp tục tính toán chi phí vốn (WACC, CAPM và chi phí nợ sau thuế), so sánh D/E với chuẩn ngành, rồi mới điều chỉnh tỷ lệ nợ theo từng giai đoạn. Cách tiếp cận này giúp doanh nghiệp tối ưu cấu trúc vốn một cách an toàn, phù hợp với quy mô nhỏ và khả năng chịu rủi ro thấp.
Dựa vào các ý trên đây, chúng tôi tin chắc rằng bạn đã biết cần làm gì để tối ưu cấu trúc vốn. Hãy thử áp dụng nó vào doanh nghiệp của mình để thực hiện luôn nhé. Nó sẽ giúp bạn tiết kiệm được khá nhiều tiền bạc và nhân lực cho doanh nghiệp đấy!
6. Case Study Cấu Trúc Vốn tại Việt Nam: Dữ liệu lấy từ đâu và phân tích như thế nào?
Việc phân tích cấu trúc vốn tối ưu của doanh nghiệp Việt Nam thường gặp khó khăn vì đa số công ty không công bố cấu trúc vốn mục tiêu. Tuy nhiên, người đọc hoàn toàn có thể tự đánh giá cấu trúc vốn từ báo cáo tài chính công khai. Phần này hướng dẫn bạn cách thu thập dữ liệu, cách phân tích và đưa ra ví dụ thực tế.
6.1. Lấy dữ liệu phân tích cấu trúc vốn từ đâu?
Ta có thể lấy dữ liệu phân tích cấu trúc vốn từ các nguồn dữ liệu chính đều có trong Bộ báo cáo tài chính của doanh nghiệp niêm yết:
- Bảng cân đối kế toán: dùng để lấy các thông tin cốt lõi như Nợ ngắn hạn, Nợ dài hạn, Vốn chủ sở hữu → Để từ đó tính các chỉ số cấu trúc vốn như: D/E, D/A
- Báo cáo kết quả kinh doanh: dùng để trích các Chi phí lãi vay, Thuế thu nhập doanh nghiệp → Để từ đó tính chi phí nợ sau thuế (Kd)
- Thuyết minh BCTC là nơi quan trọng nhất để phân tích chất lượng nợ và mức độ rủi ro tài chính của doanh nghiệp. Ta cần tập trung các chỉ số như Lãi suất từng khoản vay, Kỳ hạn vay, Nợ có tài sản đảm bảo, Nợ bằng VND hay ngoại tệ
6.2. Ví dụ thực tế: Phân tích cấu trúc vốn của một doanh nghiệp nhỏ
Một doanh nghiệp nhỏ trong lĩnh vực thực phẩm:
- D/E = 0.2
- ROI = 18%
- Lãi vay = 9%
- Dòng tiền hoạt động ổn định
→ Vì ROI > chi phí nợ sau thuế ⇒ doanh nghiệp có khả năng tăng nợ để mở rộng.
Khi doanh nghiệp tính lại WACC:
- Trước khi vay: WACC ≈ 14%
- Sau khi tăng nợ nhẹ (D/E 0.35): WACC giảm còn ≈ 11%
→ Kết luận: Gia tăng nợ hợp lý giúp giảm WACC và nâng cao giá trị doanh nghiệp. Đây chính là minh chứng cho tính hiệu quả của việc tối ưu cấu trúc vốn.
Qua việc giải mã khái niệm cấu trúc vốn là gì và các nhân tố ảnh hưởng tới cấu trúc vốn cũng như những điều cần biết về vốn tối ưu, chúng tôi hy vọng phần nào giúp bạn trang bị một nền tảng kiến thức về cấu trúc vốn để thực hành và áp dụng cho doanh nghiệp của mình, hoặc đơn giản nó sẽ giúp ích cho bài nghiên cứu của bạn.
Tài liệu tham khảo
- Frank, M. Z., &Goyal, V. K. (2009). Capital structure decisions: which factors are reliably important?. Financial Management, 38(1), 1-37.
- Thanh Hằng. (2018). Vốn vay là gì?. (Có sẵn tại: vietnamfinance.vn)
- Luật doanh nghiệp 2014.
- Dương Thị Thanh Hương. (2021). Yếu tố ảnh hưởng đến cấu trúc vốn của các doanh nghiệp thực phẩm, đồ uống niêm yết trên thị trường chứng khoán Việt Nam. (Có sẵn tại: tapchitaichinh.vn)
- Các nhân tố ảnh hưởng đến cấu trúc vốn các doanh nghiệp niêm yết trên thị trường chứng khoán Việt Nam. (Có sẵn tại: khcn.vimaru.edu.vn).
- Rajan, R. G., and Zingales, L.. (1995). What do we know about capital structure? Some evidence from international data. The Journal of Finance. 50(5), 1421-1460.
- Đường Thị Thanh Hải. (2017). Thiết lập cơ cấu vốn tối ưu các doanh nghiệp Việt Nam. (Có sẵn tại: tapchicongthuong.vn)
- Từ điển Investopedia. Cấu trúc vốn.(Có sẵn tại: http://en.stockbiz.vn/Terms/CAPITALSTRUCTURE.aspx)